染料法 qPCR 预混液-AQ601
产品名称
PerfectStart® Green qPCR SuperMix (AQ601)
应用专利
专利号:ZL202010542947.0 ZL202010543186.0
高分文献集锦
•Zhang B, He P, Lawrence J E G, et al. A human embryonic limb cell atlas resolved in space and time[J]. Nature, 2023.(IF 64.80)
•Zhang J Y, Wang B, Xu H R, et al. Root microbiota regulates tiller number in rice[J]. Cell, 2025.(IF 45.50)
•Zhao K, Xue H, Li G, et al. Pangenome analysis reveals structural variation associated with seed size and weight traits in peanut[J]. Nature Genetics, 2025. (IF 31.80)
•Xiang B, Zhang M, Li K, et al. The epitranscriptional factor PCIF1 orchestrates CD8+ T cell ferroptosis and activation to control antitumor immunity[J]. Nature Immunology, 2025.(IF 27.80)
•Huang L, Wei M, Li H, et al. GP73-dependent regulation of exosome biogenesis promotes colorectal cancer liver metastasis[J]. Molecular Cancer, 2025.(IF 27.70)
•Deng P, Wang Z, Chen J, et al. RAD21 amplification epigenetically suppresses interferon signaling to promote immune evasion in ovarian cancer[J]. The Journal of Clinical Investigation, 2022.(IF 19.46)
•Huang J, Wu C, Kloeber J A, et al. SLFN5-mediated chromatin dynamics sculpt higher-order DNA repair topology[J]. Molecular Cell, 2023.(IF 19.33)
•Liang Y, Wang J, Xu C, et al. Remodeling Collagen Microenvironment in Liver Using a Biomimetic Nano‐Regulator for Reversal of Liver Fibrosis[J]. Advanced Science, 2023.(IF 17.52)
•Liang Y, Zhang J, Xu C, et al. Biomimetic Mineralized CRISPR/Cas RNA Nanoparticles for Efficient Tumor-Specific Multiplex Gene Editing[J]. ACS nano, 2023.(IF 17.10)
•He F, Liu Z, Xu J, et al. Black phosphorus nanosheets suppress oxidative damage of stem cells for improved neurological recovery[J]. Chemical Engineering Journal, 2023.(IF 16.74)
•He F, Cheng K, Qi J, et al. Black phosphorus nanosheets enhance differentiation of neural progenitor cells for improved treatment in spinal cord injury[J]. Chemical Engineering Journal, 2023.(IF 15.10)
•Chen B, Jin K, Dong J, et al. Hypocretin‐1/Hypocretin Receptor 1 Regulates Neuroplasticity and Cognitive Function through Hippocampal Lactate Homeostasis in Depressed Model[J]. Advanced Science, 2024.(IF 14.30)
•Huang C, Jiang T, Pan W, et al. Ubiquitination of NS1 confers differential adaptation of zika virus in mammalian hosts and mosquito vectors[J]. Advanced Science, 2024.(IF 14.30)
•Liang Y, Zhang J, Wang J, et al. Restoring Tumor Cell Immunogenicity Through Ion‐Assisted p53 mRNA Domestication for Enhanced In Situ Cancer Vaccination Effect[J]. Advanced Science, 2025(IF 14.30)
•Cui B, Guo X, Zhou W, et al. Exercise alleviates neovascular age-related macular degeneration by inhibiting AIM2 inflammasome in myeloid cells[J]. Metabolism, 2023.(IF 13.93)
•Sun D, Zhang X, Yin Z, et al. As-hyperaccumulator Pteris vittata and non-hyperaccumulator Pteris ensiformis under low As-exposure: Transcriptome analysis and implication for As hyperaccumulation[J]. Journal of Hazardous Materials, 2023.(IF 13.60)
产品特点
• 3 种抗体封闭,特异性高,灵敏度高,扩增效率强,适用物种范围广。
• 双阳离子缓冲液,增强特异性,减少引物二聚体形成,数据准确。
• 配有适用于不同机型的 Universal Passive Reference Dye ( 调整 PCR 加样误差引起的管间差异 ),校正孔间信号误差。
数据展示
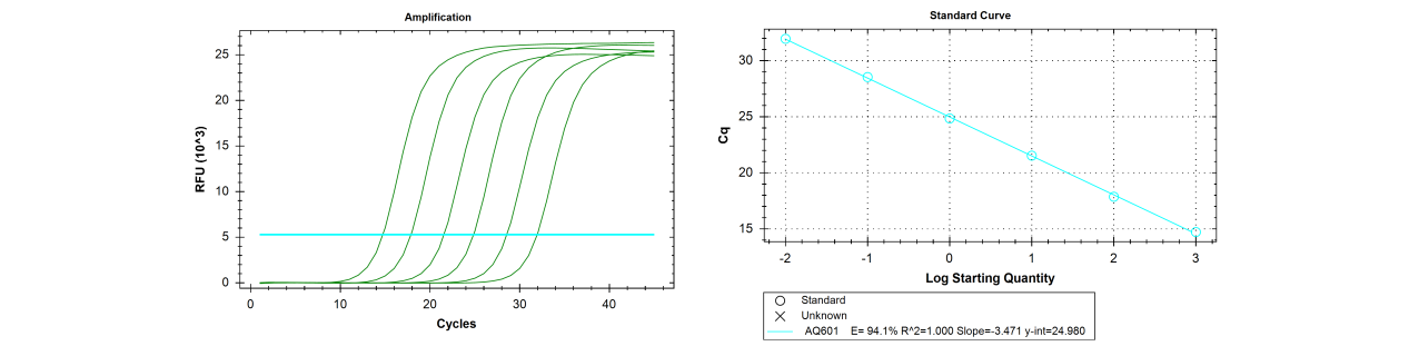
扩增效率高

以梯度稀释的质粒 DNA (10 ng-0.1 pg,10 倍稀释 ) 为模板进行扩增得到的扩增曲线和标准曲线。结果显示,TransGen 产品扩增效率高。
不同物种模板扩增

以不同物种的 RNA 反转录 (TransGen, AT311) 后得到的 cDNA 为模板分别使用TransGen 与 Company T 的产品进行扩增 (NTC 无扩增 )。结果显示,TransGen产品扩增效果与 Company T 产品基本一致。
扩增灵敏度

以 500 ng 的人源 RNA 反转录 (TransGen, AT311) 后得到的 cDNA 为模板梯度稀释,分别使用 TransGen 与 Company T产品扩增 β-actin (NTC无扩增)。结果显示,TransGen 产品扩增灵敏度与 Company T 产品基本一致。
产品信息




